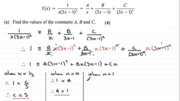
Partial Fractions : Edexcel Core Maths C4 June 2010 Q5(a) : ExamSolutions

Tonton & Download Video Musik Gratis

⬇ DOWNLOAD NOW
Kalau muncul iklan pop-up, tutup lalu klik tombol kembali

Download lagu Partial Fractions : Edexcel Core Maths C4 June 2010 Q5(a) : ExamSolutions secara gratis hanya untuk keperluan promosi. Dukung artis favorit kamu dengan membeli musik original di iTunes atau platform resmi lainnya.