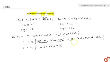
If `z_1,z_2.........z_n=z`, then `argz_1+arg z_2+.......+arg z_n and arg z` differ by a

Tonton & Download Video Musik Gratis

⬇ DOWNLOAD NOW
Kalau muncul iklan pop-up, tutup lalu klik tombol kembali

Download lagu If `z_1,z_2.........z_n=z`, then `argz_1+arg z_2+.......+arg z_n and arg z` differ by a secara gratis hanya untuk keperluan promosi. Dukung artis favorit kamu dengan membeli musik original di iTunes atau platform resmi lainnya.