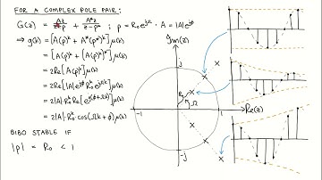
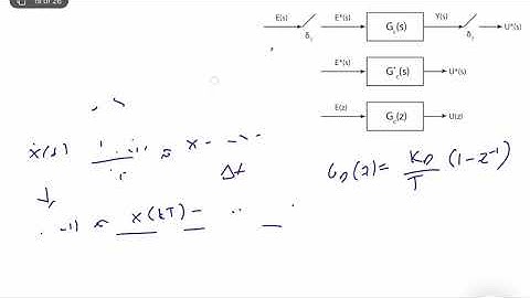
Discrete-Time-Systems - Analysis of a Fundamental Digital Control System (Lecture 6 - Part III)

Tonton & Download Video Musik Gratis

⬇ DOWNLOAD NOW
Kalau muncul iklan pop-up, tutup lalu klik tombol kembali

Download lagu Discrete-Time-Systems - Analysis of a Fundamental Digital Control System (Lecture 6 - Part III) secara gratis hanya untuk keperluan promosi. Dukung artis favorit kamu dengan membeli musik original di iTunes atau platform resmi lainnya.