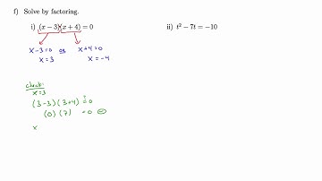
MTH 65 (§7.4, v1) Introduction to Identifying Types of Equations and Solving Each

Tonton & Download Video Musik Gratis

⬇ DOWNLOAD NOW
Kalau muncul iklan pop-up, tutup lalu klik tombol kembali

Download lagu MTH 65 (§7.4, v1) Introduction to Identifying Types of Equations and Solving Each secara gratis hanya untuk keperluan promosi. Dukung artis favorit kamu dengan membeli musik original di iTunes atau platform resmi lainnya.