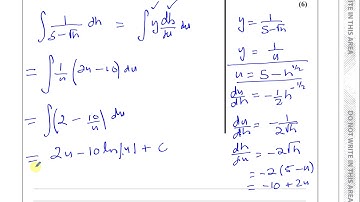
EDEXCEL IAL C34 JAN 2019 Q7b Integration by Substitution Area

Tonton & Download Video Musik Gratis

⬇ DOWNLOAD NOW
Kalau muncul iklan pop-up, tutup lalu klik tombol kembali

Download lagu EDEXCEL IAL C34 JAN 2019 Q7b Integration by Substitution Area secara gratis hanya untuk keperluan promosi. Dukung artis favorit kamu dengan membeli musik original di iTunes atau platform resmi lainnya.