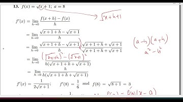
Calculus 1 Ex # 2.2 Q # 16: The Derivative; The Derivative Function

Tonton & Download Video Musik Gratis

⬇ DOWNLOAD NOW
Kalau muncul iklan pop-up, tutup lalu klik tombol kembali

Download lagu Calculus 1 Ex # 2.2 Q # 16: The Derivative; The Derivative Function secara gratis hanya untuk keperluan promosi. Dukung artis favorit kamu dengan membeli musik original di iTunes atau platform resmi lainnya.