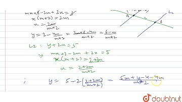
Find the equation of the line passing through the point (2, 3) and making intercept of length 2units

Tonton & Download Video Musik Gratis

⬇ DOWNLOAD NOW
Kalau muncul iklan pop-up, tutup lalu klik tombol kembali

Download lagu Find the equation of the line passing through the point (2, 3) and making intercept of length 2units secara gratis hanya untuk keperluan promosi. Dukung artis favorit kamu dengan membeli musik original di iTunes atau platform resmi lainnya.