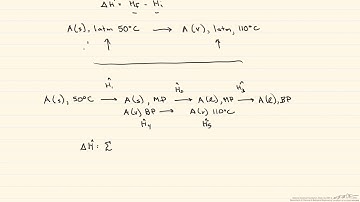
Lec # 8-1: Balances on Nonreactive Processes & Hypothetical Process Paths

Tonton & Download Video Musik Gratis

⬇ DOWNLOAD NOW
Kalau muncul iklan pop-up, tutup lalu klik tombol kembali

Download lagu Lec # 8-1: Balances on Nonreactive Processes & Hypothetical Process Paths secara gratis hanya untuk keperluan promosi. Dukung artis favorit kamu dengan membeli musik original di iTunes atau platform resmi lainnya.