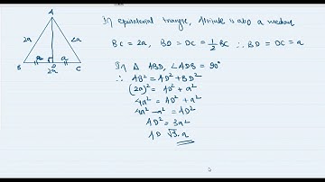
IX ICSE - Maths ch#13 Pythagoras Theorem: Part 2 (2021)

Tonton & Download Video Musik Gratis

⬇ DOWNLOAD NOW
Kalau muncul iklan pop-up, tutup lalu klik tombol kembali

Download lagu IX ICSE - Maths ch#13 Pythagoras Theorem: Part 2 (2021) secara gratis hanya untuk keperluan promosi. Dukung artis favorit kamu dengan membeli musik original di iTunes atau platform resmi lainnya.