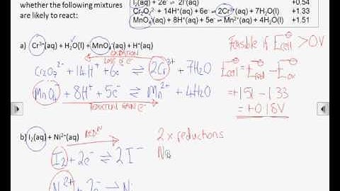
Predict feasibility of reaction between Ag and Fe3+ using STD.REDOX POTENTIAL.

Tonton & Download Video Musik Gratis

⬇ DOWNLOAD NOW
Kalau muncul iklan pop-up, tutup lalu klik tombol kembali

Download lagu Predict feasibility of reaction between Ag and Fe3+ using STD.REDOX POTENTIAL. secara gratis hanya untuk keperluan promosi. Dukung artis favorit kamu dengan membeli musik original di iTunes atau platform resmi lainnya.