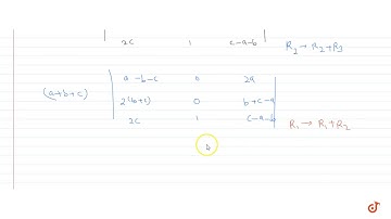
Using the properties of determinants, evaluate: |[ a-b-c 2 a 2 a; 2 b b-c-a 2 b; 2 c ...

Tonton & Download Video Musik Gratis

⬇ DOWNLOAD NOW
Kalau muncul iklan pop-up, tutup lalu klik tombol kembali

Download lagu Using the properties of determinants, evaluate: |[ a-b-c 2 a 2 a; 2 b b-c-a 2 b; 2 c ... secara gratis hanya untuk keperluan promosi. Dukung artis favorit kamu dengan membeli musik original di iTunes atau platform resmi lainnya.