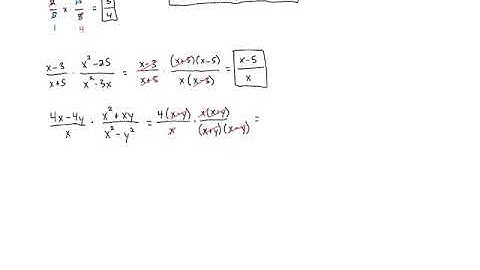
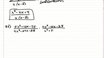
Rational Expressions (Part 2) - Multiplying, Dividing and Simplifying

Tonton & Download Video Musik Gratis

⬇ DOWNLOAD NOW
Kalau muncul iklan pop-up, tutup lalu klik tombol kembali

Download lagu Rational Expressions (Part 2) - Multiplying, Dividing and Simplifying secara gratis hanya untuk keperluan promosi. Dukung artis favorit kamu dengan membeli musik original di iTunes atau platform resmi lainnya.