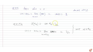
Show that f is not R-integrable . Let f(x)={cos x, if x is rational and sin x, if x is irrational

Tonton & Download Video Musik Gratis

⬇ DOWNLOAD NOW
Kalau muncul iklan pop-up, tutup lalu klik tombol kembali

Download lagu Show that f is not R-integrable . Let f(x)={cos x, if x is rational and sin x, if x is irrational secara gratis hanya untuk keperluan promosi. Dukung artis favorit kamu dengan membeli musik original di iTunes atau platform resmi lainnya.