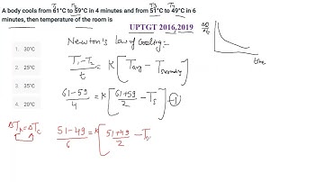
A body in laboratory takes 4 minutes to cool from 6 1 °C to 59 °C. If the laboratory temperature is

Tonton & Download Video Musik Gratis

⬇ DOWNLOAD NOW
Kalau muncul iklan pop-up, tutup lalu klik tombol kembali

Download lagu A body in laboratory takes 4 minutes to cool from 6 1 °C to 59 °C. If the laboratory temperature is secara gratis hanya untuk keperluan promosi. Dukung artis favorit kamu dengan membeli musik original di iTunes atau platform resmi lainnya.