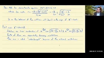
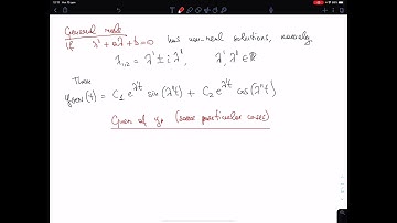
Lecture 18, Part 2/10, differential equations: Malthus’ and the initial condition

Tonton & Download Video Musik Gratis

⬇ DOWNLOAD NOW
Kalau muncul iklan pop-up, tutup lalu klik tombol kembali

Download lagu Lecture 18, Part 2/10, differential equations: Malthus’ and the initial condition secara gratis hanya untuk keperluan promosi. Dukung artis favorit kamu dengan membeli musik original di iTunes atau platform resmi lainnya.