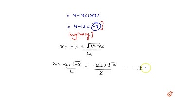
If the equation x^2+2x + 3 = 0 and ax^2+bx+c = 0 , a,b,c ∈ R, have a comman root , then a b: c is

Tonton & Download Video Musik Gratis

⬇ DOWNLOAD NOW
Kalau muncul iklan pop-up, tutup lalu klik tombol kembali

Download lagu If the equation x^2+2x + 3 = 0 and ax^2+bx+c = 0 , a,b,c ∈ R, have a comman root , then a b: c is secara gratis hanya untuk keperluan promosi. Dukung artis favorit kamu dengan membeli musik original di iTunes atau platform resmi lainnya.