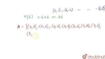
Probability of getting a multiple of 2 on one dice and a multiple of 3 on the other dice

Tonton & Download Video Musik Gratis

⬇ DOWNLOAD NOW
Kalau muncul iklan pop-up, tutup lalu klik tombol kembali

Download lagu Probability of getting a multiple of 2 on one dice and a multiple of 3 on the other dice secara gratis hanya untuk keperluan promosi. Dukung artis favorit kamu dengan membeli musik original di iTunes atau platform resmi lainnya.