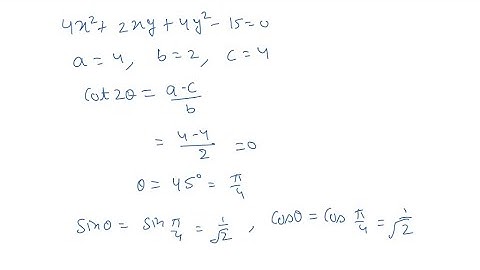
Rotate coordinate axis to remove xy term.Then name the conic and sketch it x^2+2√3xy+3y^2+2√3x-2y=0

Tonton & Download Video Musik Gratis

⬇ DOWNLOAD NOW
Kalau muncul iklan pop-up, tutup lalu klik tombol kembali

Download lagu Rotate coordinate axis to remove xy term.Then name the conic and sketch it x^2+2√3xy+3y^2+2√3x-2y=0 secara gratis hanya untuk keperluan promosi. Dukung artis favorit kamu dengan membeli musik original di iTunes atau platform resmi lainnya.