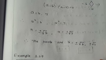
Answers for 10th Maths Chapter 3 Algebra Example 3.26, 3.27, 3.28, 3.29 and Exercise 3.10 ( fully)

Tonton & Download Video Musik Gratis

⬇ DOWNLOAD NOW
Kalau muncul iklan pop-up, tutup lalu klik tombol kembali

Download lagu Answers for 10th Maths Chapter 3 Algebra Example 3.26, 3.27, 3.28, 3.29 and Exercise 3.10 ( fully) secara gratis hanya untuk keperluan promosi. Dukung artis favorit kamu dengan membeli musik original di iTunes atau platform resmi lainnya.