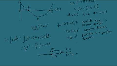
Integrating Velocity with respect to Time (2 of 2: Why it gives Distance)

Tonton & Download Video Musik Gratis

⬇ DOWNLOAD NOW
Kalau muncul iklan pop-up, tutup lalu klik tombol kembali

Download lagu Integrating Velocity with respect to Time (2 of 2: Why it gives Distance) secara gratis hanya untuk keperluan promosi. Dukung artis favorit kamu dengan membeli musik original di iTunes atau platform resmi lainnya.