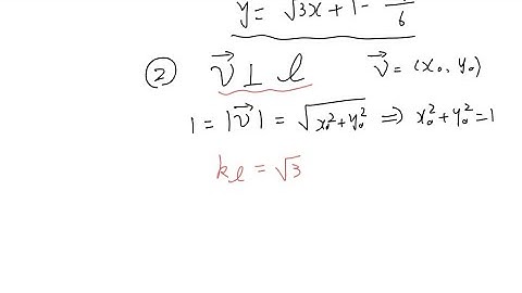
Find a unit vector that is parallel to the line tangent to the parabola 𝑦=𝑥^2 at the point (4, 16).

Tonton & Download Video Musik Gratis

⬇ DOWNLOAD NOW
Kalau muncul iklan pop-up, tutup lalu klik tombol kembali

Download lagu Find a unit vector that is parallel to the line tangent to the parabola 𝑦=𝑥^2 at the point (4, 16). secara gratis hanya untuk keperluan promosi. Dukung artis favorit kamu dengan membeli musik original di iTunes atau platform resmi lainnya.