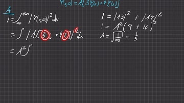
Problem 2.49: Quantum Mechanics by David J. Griffiths, Wave Packet in a Harmonic Oscillator

Tonton & Download Video Musik Gratis

⬇ DOWNLOAD NOW
Kalau muncul iklan pop-up, tutup lalu klik tombol kembali

Download lagu Problem 2.49: Quantum Mechanics by David J. Griffiths, Wave Packet in a Harmonic Oscillator secara gratis hanya untuk keperluan promosi. Dukung artis favorit kamu dengan membeli musik original di iTunes atau platform resmi lainnya.