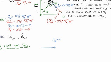
Engineering Dynamics 17.3-01 Velocity on a Relative Frame with a Moving Particle

Tonton & Download Video Musik Gratis

⬇ DOWNLOAD NOW
Kalau muncul iklan pop-up, tutup lalu klik tombol kembali

Download lagu Engineering Dynamics 17.3-01 Velocity on a Relative Frame with a Moving Particle secara gratis hanya untuk keperluan promosi. Dukung artis favorit kamu dengan membeli musik original di iTunes atau platform resmi lainnya.