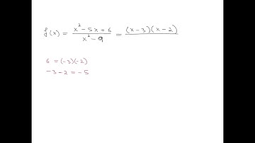
Suppose that f is given for T in the interval [0,12] by 1012/8/22/23122/19 Estimate f'(2) using the…

Tonton & Download Video Musik Gratis

⬇ DOWNLOAD NOW
Kalau muncul iklan pop-up, tutup lalu klik tombol kembali

Download lagu Suppose that f is given for T in the interval [0,12] by 1012/8/22/23122/19 Estimate f'(2) using the… secara gratis hanya untuk keperluan promosi. Dukung artis favorit kamu dengan membeli musik original di iTunes atau platform resmi lainnya.