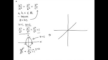
L -5 cone Find the equation of cone when vertex and guiding curve is given

Tonton & Download Video Musik Gratis

⬇ DOWNLOAD NOW
Kalau muncul iklan pop-up, tutup lalu klik tombol kembali

Download lagu L -5 cone Find the equation of cone when vertex and guiding curve is given secara gratis hanya untuk keperluan promosi. Dukung artis favorit kamu dengan membeli musik original di iTunes atau platform resmi lainnya.