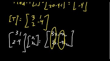
Matrix Representation in Linear Transformation | Transforming vectors | HPSC | #maths #hpsc2025

Tonton & Download Video Musik Gratis

⬇ DOWNLOAD NOW
Kalau muncul iklan pop-up, tutup lalu klik tombol kembali

Download lagu Matrix Representation in Linear Transformation | Transforming vectors | HPSC | #maths #hpsc2025 secara gratis hanya untuk keperluan promosi. Dukung artis favorit kamu dengan membeli musik original di iTunes atau platform resmi lainnya.