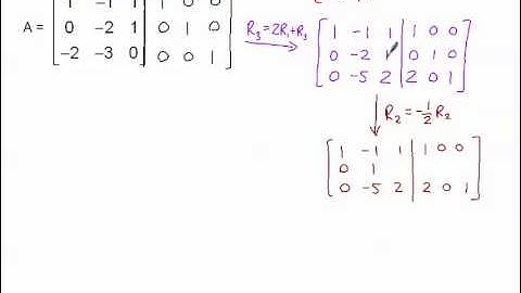
Find the Inverse of a 3x3 Matrix Using Row Operations and an Augmented Matrix

Tonton & Download Video Musik Gratis

⬇ DOWNLOAD NOW
Kalau muncul iklan pop-up, tutup lalu klik tombol kembali

Download lagu Find the Inverse of a 3x3 Matrix Using Row Operations and an Augmented Matrix secara gratis hanya untuk keperluan promosi. Dukung artis favorit kamu dengan membeli musik original di iTunes atau platform resmi lainnya.