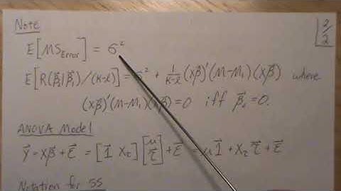
Applied Regression L30 Hypothesis Tests Part 2 for Multiple Regression: Partial F Tests

Tonton & Download Video Musik Gratis

⬇ DOWNLOAD NOW
Kalau muncul iklan pop-up, tutup lalu klik tombol kembali

Download lagu Applied Regression L30 Hypothesis Tests Part 2 for Multiple Regression: Partial F Tests secara gratis hanya untuk keperluan promosi. Dukung artis favorit kamu dengan membeli musik original di iTunes atau platform resmi lainnya.