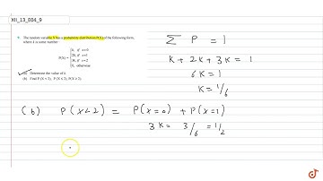
9 The random variable X has a probability distribution PX of the following form, where k is some nu

Tonton & Download Video Musik Gratis

⬇ DOWNLOAD NOW
Kalau muncul iklan pop-up, tutup lalu klik tombol kembali

Download lagu 9 The random variable X has a probability distribution PX of the following form, where k is some nu secara gratis hanya untuk keperluan promosi. Dukung artis favorit kamu dengan membeli musik original di iTunes atau platform resmi lainnya.