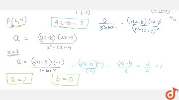
The function y=(ax+b)/(x-1)(x-4) has turning point at P(2,-1) Then find the values of a and b. ...

Tonton & Download Video Musik Gratis

⬇ DOWNLOAD NOW
Kalau muncul iklan pop-up, tutup lalu klik tombol kembali

Download lagu The function y=(ax+b)/(x-1)(x-4) has turning point at P(2,-1) Then find the values of a and b. ... secara gratis hanya untuk keperluan promosi. Dukung artis favorit kamu dengan membeli musik original di iTunes atau platform resmi lainnya.