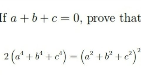
If a+b+c=0, prove that a⁴+b⁴+c⁴ = 2(a²b²+b²c²+c²a²) = ½(a²+b²+c²)² || Class IX

Tonton & Download Video Musik Gratis

⬇ DOWNLOAD NOW
Kalau muncul iklan pop-up, tutup lalu klik tombol kembali

Download lagu If a+b+c=0, prove that a⁴+b⁴+c⁴ = 2(a²b²+b²c²+c²a²) = ½(a²+b²+c²)² || Class IX secara gratis hanya untuk keperluan promosi. Dukung artis favorit kamu dengan membeli musik original di iTunes atau platform resmi lainnya.