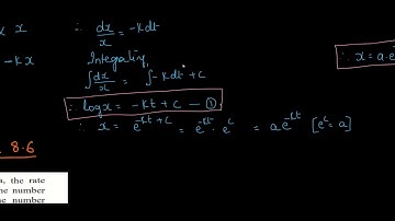
Differencial Equations and its Applications Exercise 8.6 12th Commerce Maths MH Board New Syllabus

Tonton & Download Video Musik Gratis

⬇ DOWNLOAD NOW
Kalau muncul iklan pop-up, tutup lalu klik tombol kembali

Download lagu Differencial Equations and its Applications Exercise 8.6 12th Commerce Maths MH Board New Syllabus secara gratis hanya untuk keperluan promosi. Dukung artis favorit kamu dengan membeli musik original di iTunes atau platform resmi lainnya.