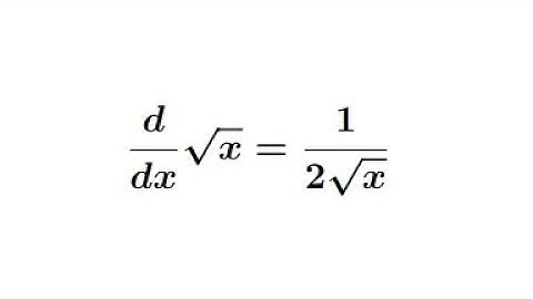
Power Rule Square Root x to find the derivative of y=sqrt(x) #shorts #derivatives #power_rule

Tonton & Download Video Musik Gratis

⬇ DOWNLOAD NOW
Kalau muncul iklan pop-up, tutup lalu klik tombol kembali

Download lagu Power Rule Square Root x to find the derivative of y=sqrt(x) #shorts #derivatives #power_rule secara gratis hanya untuk keperluan promosi. Dukung artis favorit kamu dengan membeli musik original di iTunes atau platform resmi lainnya.