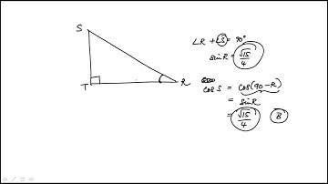
Question 17 in SAT Digital Practice Test #8, MATH Section 2 Module 1

Tonton & Download Video Musik Gratis

⬇ DOWNLOAD NOW
Kalau muncul iklan pop-up, tutup lalu klik tombol kembali

Download lagu Question 17 in SAT Digital Practice Test #8, MATH Section 2 Module 1 secara gratis hanya untuk keperluan promosi. Dukung artis favorit kamu dengan membeli musik original di iTunes atau platform resmi lainnya.