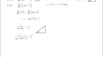
Derivatives of Inverse Trigonometric Functions Part 2 (TikTok Live)

Tonton & Download Video Musik Gratis

⬇ DOWNLOAD NOW
Kalau muncul iklan pop-up, tutup lalu klik tombol kembali

Download lagu Derivatives of Inverse Trigonometric Functions Part 2 (TikTok Live) secara gratis hanya untuk keperluan promosi. Dukung artis favorit kamu dengan membeli musik original di iTunes atau platform resmi lainnya.