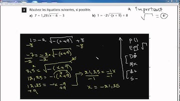
Secondaire 5 SN Québec: Fonction racine carrée, résoudre une inéquation

Tonton & Download Video Musik Gratis

⬇ DOWNLOAD NOW
Kalau muncul iklan pop-up, tutup lalu klik tombol kembali

Download lagu Secondaire 5 SN Québec: Fonction racine carrée, résoudre une inéquation secara gratis hanya untuk keperluan promosi. Dukung artis favorit kamu dengan membeli musik original di iTunes atau platform resmi lainnya.