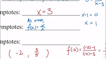
RATIONAL FUNCTIONS PART 1 (ENGLISH-CEBUANO EXPLANATION)

Tonton & Download Video Musik Gratis

⬇ DOWNLOAD NOW
Kalau muncul iklan pop-up, tutup lalu klik tombol kembali

Download lagu RATIONAL FUNCTIONS PART 1 (ENGLISH-CEBUANO EXPLANATION) secara gratis hanya untuk keperluan promosi. Dukung artis favorit kamu dengan membeli musik original di iTunes atau platform resmi lainnya.