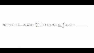
IIT JAM 2018 Mathematics Question 51 | Real Analysis | Cauchy Theorem on Limits | By Prabhakar Sir

Tonton & Download Video Musik Gratis

⬇ DOWNLOAD NOW
Kalau muncul iklan pop-up, tutup lalu klik tombol kembali

Download lagu IIT JAM 2018 Mathematics Question 51 | Real Analysis | Cauchy Theorem on Limits | By Prabhakar Sir secara gratis hanya untuk keperluan promosi. Dukung artis favorit kamu dengan membeli musik original di iTunes atau platform resmi lainnya.