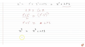
The value of 'p' for which the sum of the square of the roots of `2x^2-2(p-2)x-p-1=0` is lea

Tonton & Download Video Musik Gratis

⬇ DOWNLOAD NOW
Kalau muncul iklan pop-up, tutup lalu klik tombol kembali

Download lagu The value of 'p' for which the sum of the square of the roots of `2x^2-2(p-2)x-p-1=0` is lea secara gratis hanya untuk keperluan promosi. Dukung artis favorit kamu dengan membeli musik original di iTunes atau platform resmi lainnya.