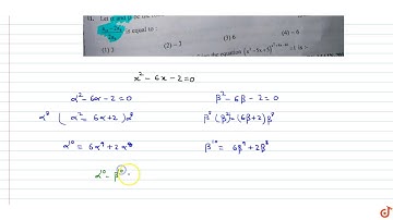
let alpha and beta are roots of equation x^2-6x-2=0. if an=alpha^n-beta^n,then a10-2a8/3a9 | jee

Tonton & Download Video Musik Gratis

⬇ DOWNLOAD NOW
Kalau muncul iklan pop-up, tutup lalu klik tombol kembali

Download lagu let alpha and beta are roots of equation x^2-6x-2=0. if an=alpha^n-beta^n,then a10-2a8/3a9 | jee secara gratis hanya untuk keperluan promosi. Dukung artis favorit kamu dengan membeli musik original di iTunes atau platform resmi lainnya.