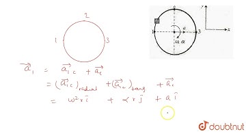
A uniiform disc of radius `r` spins with angular velocity `omega` and angular acceleration `alph...

Tonton & Download Video Musik Gratis

⬇ DOWNLOAD NOW
Kalau muncul iklan pop-up, tutup lalu klik tombol kembali

Download lagu A uniiform disc of radius `r` spins with angular velocity `omega` and angular acceleration `alph... secara gratis hanya untuk keperluan promosi. Dukung artis favorit kamu dengan membeli musik original di iTunes atau platform resmi lainnya.