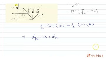
A particle of mass `2 kg` moving with a velocity of `3 m//s` is acted upon by a force which chan...

Tonton & Download Video Musik Gratis

⬇ DOWNLOAD NOW
Kalau muncul iklan pop-up, tutup lalu klik tombol kembali

Download lagu A particle of mass `2 kg` moving with a velocity of `3 m//s` is acted upon by a force which chan... secara gratis hanya untuk keperluan promosi. Dukung artis favorit kamu dengan membeli musik original di iTunes atau platform resmi lainnya.