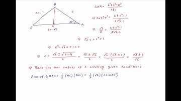
[IIT 1990] Find angles of triangle ABC such that angles are in A.P. and meet following conditions.

Tonton & Download Video Musik Gratis

⬇ DOWNLOAD NOW
Kalau muncul iklan pop-up, tutup lalu klik tombol kembali

Download lagu [IIT 1990] Find angles of triangle ABC such that angles are in A.P. and meet following conditions. secara gratis hanya untuk keperluan promosi. Dukung artis favorit kamu dengan membeli musik original di iTunes atau platform resmi lainnya.