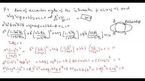
TN New Syllabus 12th Std Chapter 3 | a circle and ellipse cannot intersect at more than four points|

Tonton & Download Video Musik Gratis

⬇ DOWNLOAD NOW
Kalau muncul iklan pop-up, tutup lalu klik tombol kembali

Download lagu TN New Syllabus 12th Std Chapter 3 | a circle and ellipse cannot intersect at more than four points| secara gratis hanya untuk keperluan promosi. Dukung artis favorit kamu dengan membeli musik original di iTunes atau platform resmi lainnya.