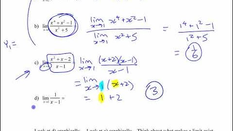
Ca12 - 2.1 (part 2) Rates of Change and Limits cont'd

Tonton & Download Video Musik Gratis

⬇ DOWNLOAD NOW
Kalau muncul iklan pop-up, tutup lalu klik tombol kembali

Download lagu Ca12 - 2.1 (part 2) Rates of Change and Limits cont'd secara gratis hanya untuk keperluan promosi. Dukung artis favorit kamu dengan membeli musik original di iTunes atau platform resmi lainnya.