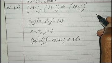
Class 8 maths ch 9 Ex-9.5 q1(iv) | (3a – 1/2) (3a – 1/2) Use a suitable identity to get the products

Tonton & Download Video Musik Gratis

⬇ DOWNLOAD NOW
Kalau muncul iklan pop-up, tutup lalu klik tombol kembali

Download lagu Class 8 maths ch 9 Ex-9.5 q1(iv) | (3a – 1/2) (3a – 1/2) Use a suitable identity to get the products secara gratis hanya untuk keperluan promosi. Dukung artis favorit kamu dengan membeli musik original di iTunes atau platform resmi lainnya.