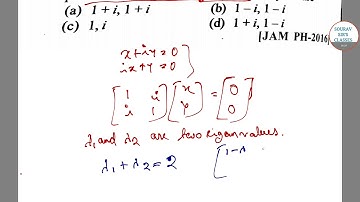
IIT JAM Physics 2019 answers. Past year questions solved with proper explanation. Contact 9836793076

Tonton & Download Video Musik Gratis

⬇ DOWNLOAD NOW
Kalau muncul iklan pop-up, tutup lalu klik tombol kembali

Download lagu IIT JAM Physics 2019 answers. Past year questions solved with proper explanation. Contact 9836793076 secara gratis hanya untuk keperluan promosi. Dukung artis favorit kamu dengan membeli musik original di iTunes atau platform resmi lainnya.