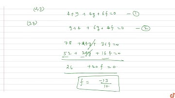
For what value ofk, the points `(0,0), (1, 3), (2, 4) and (k, 3)` are con-cyclic :

Tonton & Download Video Musik Gratis

⬇ DOWNLOAD NOW
Kalau muncul iklan pop-up, tutup lalu klik tombol kembali

Download lagu For what value ofk, the points `(0,0), (1, 3), (2, 4) and (k, 3)` are con-cyclic : secara gratis hanya untuk keperluan promosi. Dukung artis favorit kamu dengan membeli musik original di iTunes atau platform resmi lainnya.