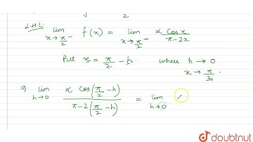
Q) If a function f defined byf(x) = kcosx/ π-2x if x ≠ π/2 3, if x = π/2 is continuous at x = 2

Tonton & Download Video Musik Gratis

⬇ DOWNLOAD NOW
Kalau muncul iklan pop-up, tutup lalu klik tombol kembali

Download lagu Q) If a function f defined byf(x) = kcosx/ π-2x if x ≠ π/2 3, if x = π/2 is continuous at x = 2 secara gratis hanya untuk keperluan promosi. Dukung artis favorit kamu dengan membeli musik original di iTunes atau platform resmi lainnya.