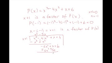
QUANTITATIVE METHODDS-POLYNOMIAL FUNCTIONS (remainder theorem, factor theorem, zeros of polynomials)

Tonton & Download Video Musik Gratis

⬇ DOWNLOAD NOW
Kalau muncul iklan pop-up, tutup lalu klik tombol kembali

Download lagu QUANTITATIVE METHODDS-POLYNOMIAL FUNCTIONS (remainder theorem, factor theorem, zeros of polynomials) secara gratis hanya untuk keperluan promosi. Dukung artis favorit kamu dengan membeli musik original di iTunes atau platform resmi lainnya.